2026年福建专升本高等数学真题及答案
2026年福建专升本在紧张的备考中,真题对于大家来说是非常重要的,今天,诚为径小编为大家整理了2025年福建专升本高等数学的真题,备考生可以收藏练习下
一、单选题
1.下面是有界函数的是( )
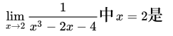
A、√x
B、lnx
C、tanx
D、-sinx
2.
A、(0,1)
B、[0,1)
C、[0,1]
D、(0,1]
3.
A、0
B、1
C、π
D、无穷
4.
A、可去间断点
B、跳跃间断点
C、无穷间断点
D、无限震荡点
5.
感谢您阅读2026年福建专升本高等数学真题及答案,本文出自:诚为径统招专升本网,转载需带上本文链接地址:https://tzzsb.cwjedu.com/lnzt/69545
-
温馨提示:
- 因考试政策、内容不断变化与调整,诚为径教育网站提供的以上信息仅供参考,如有异议,请考生以权威部门公布的内容为准!
上一篇: 福建专升本语文作文近年真题
下一篇: 2026年福建专升本大学语文真题及答案



