2024年浙江高等数学专升本考试真题:下列四个数项级数中绝对收敛的是()
来源:诚为径教育 时间:2026年03月24日
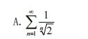
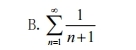
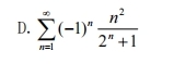
题目:【单选题】下列四个数项级数中绝对收敛的是()
A 、
B 、
C 、
D 、
感谢您阅读 2024年浙江高等数学专升本考试真题:下列四个数项级数中绝对收敛的是(),本文出自:诚为径教育,转载需带上本文链接地址:https://tzzsb.cwjedu.com/st/12366
-
温馨提示:
- 因考试政策、内容不断变化与调整,诚为径教育网站提供的以上信息仅供参考,如有异议,请考生以权威部门公布的内容为准!
- 最新试题答案推荐
- 2024年浙江高等数学专升本考试真题:
- 2024年浙江高等数学专升本考试真题:
- 2024年浙江高等数学专升本考试真题:
- 2024年浙江高等数学专升本考试真题:
- 2024年浙江高等数学专升本考试真题:
- 2024年浙江高等数学专升本考试真题:
- 2024年浙江高等数学专升本考试真题:
- 2024年浙江高等数学专升本考试真题:
- 2018年浙江专升本大学语文考试真题:53.阅读下面的文字材料,根据要求作文。人是不能不说话的,但是,有的人说起话来,娓娓动听,使人听了全身的筋骨都感到舒服;有的人说起话来,锋芒锐利,像是一把利刃,令人感到十分的畏惧;有的人说起话来,一开口就使人感觉讨厌。所以人的面貌各个不同。而人的说话,获得的效果,也正像面貌的各个不同一样。说话是一件不容易的事,我们天天都在说话,并不见得我们是会说话的。我们说了一辈子的话,试问有几句是说得特别好的?我们对人家说话,是不是每一句都能使人家心服?我们和人家进行交涉,是不是自己能够完全占得了胜利?“辩士的舌锋”、“三寸不烂之舌”这种赞词,完全是对于说话的人的称赞。然而,我们的说话,是不是句句都能获得这种赞誉?照这样看来,就可以知道我们说话,的确不是一件容易的事情了。(摘选自林语堂《说话的艺术》请根据上述材料,结合个人的理解,谈谈你的感受,写一篇600字以上的文章。角度自选,题目自拟;除诗歌外,题材不限;不得抄袭、套作。
- 2018年浙江专升本大学语文考试真题:(一)实用文写作(20分)52.请根据以下材料代张老师写一篇欢迎词。(请注意格式的规范性)(1)中文2018A班将于今年六月毕业离校。(2)班主任张老师欲在离校前夕召开一个毕业欢送晚会,并在晚会上讲话。(3)进校4年来,中文2018A班成绩骄人,8人考上研究生,5人出国继续深造。上一年度获评省级优秀班级。
- 2018年浙江专升本大学语文考试真题:“落款”最主要的错误是单位写错且未加章,要改为XX市第一小学(章)。(一空1分)
- 2018年浙江专升本大学语文考试真题:“结尾”段的主要错误是用报告的结语,要改为特此请示/以上请示妥否,请批复


