成人之美,进学有为——学历提升!
搜题

2024年浙江高等数学专升本考试真题:

来源:诚为径教育   时间:2026年03月24日

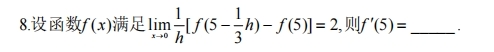
题目:【填空题】

 

  感谢您阅读 2024年浙江高等数学专升本考试真题:,本文出自:诚为径教育,转载需带上本文链接地址:https://tzzsb.cwjedu.com/st/12369

温馨提示:
因考试政策、内容不断变化与调整,诚为径教育网站提供的以上信息仅供参考,如有异议,请考生以权威部门公布的内容为准!

- 最新试题答案推荐

题目:【填空题】

关于我们 联系我们 用户协议 隐私政策 网站地图

联系地址:湖南省长沙市雨花区韶山南路123号华翼府A座2628
版权所有:湖南晨润教育科技有限公司  出版物经营许可证:第4301042021097号

免责说明:本站部分内容由诚为径教育从互联网搜集编辑整理而成,版权归原作者所有,如有冒犯,请联系我们删除。