2018年浙江高等数学专升本考试真题:
来源:诚为径教育 时间:2026年04月09日
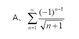
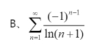
题目:【单选题】
A 、
B 、
C 、
D 、
感谢您阅读2018年浙江高等数学专升本考试真题:
,本文出自:诚为径教育,转载需带上本文链接地址:https://tzzsb.cwjedu.com/st/12522
-
温馨提示:
- 因考试政策、内容不断变化与调整,诚为径教育网站提供的以上信息仅供参考,如有异议,请考生以权威部门公布的内容为准!


