网课
题库
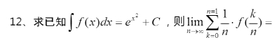
题目:【填空题】
感谢您阅读2018年浙江高等数学专升本考试真题:,本文出自:诚为径教育,转载需带上本文链接地址:https://tzzsb.cwjedu.com/st/12529
各种班型网课
海量试题练习
关于我们 联系我们 用户协议 隐私政策 网站地图
联系地址:湖南省长沙市雨花区韶山南路123号华翼府A座2628 版权所有:湖南晨润教育科技有限公司 出版物经营许可证:第4301042021097号
免责说明:本站部分内容由诚为径教育从互联网搜集编辑整理而成,版权归原作者所有,如有冒犯,请联系我们删除。